insurpad

Brzo i digitalno

Unesi registraciju i usporedi ponude osiguranja

Politika

Anonimni mail zapalio Općinu: što se zapravo događa u vrtiću Roda?

Autor: 035portal Datum objave: 25.11.2025. u 10:00

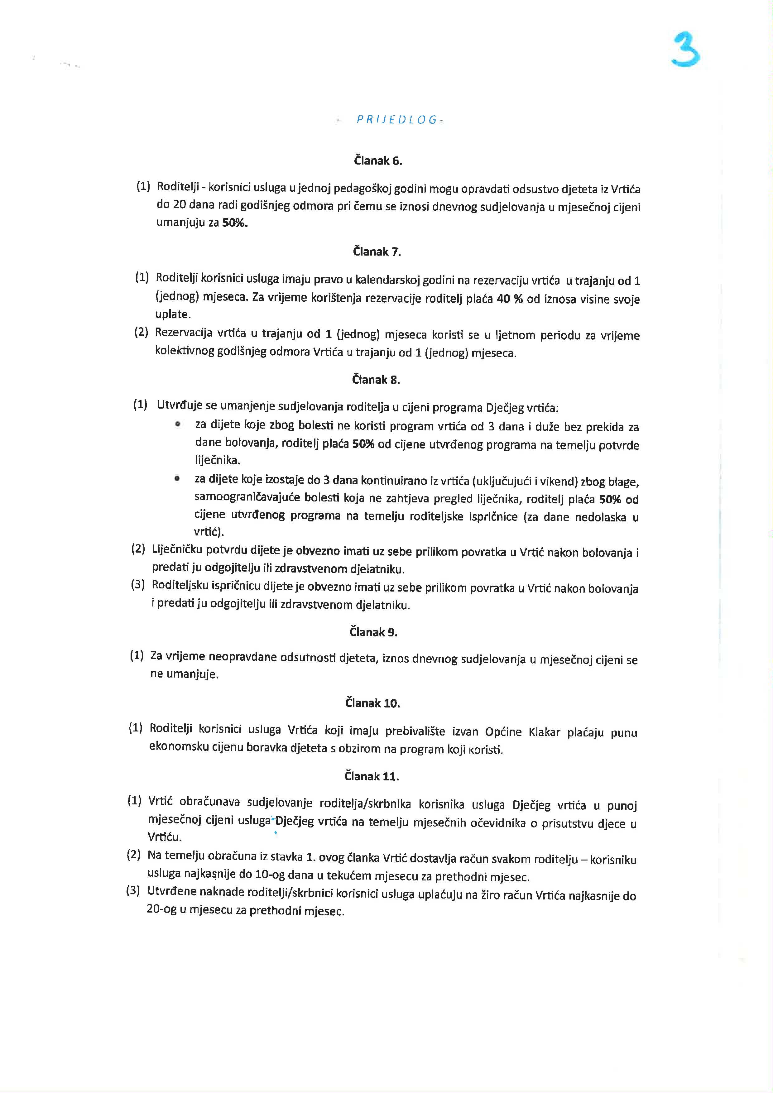
Anonimni mail zapalio Općinu: što se zapravo događa u vrtiću Roda?

Kad su se prije tri godine u Ruščici otvorila vrata vrtića Roda, činilo se da je Općina Klakar konačno zatvorila poglavlje dugih lista čekanja i vječnih molbi roditelja koji su djecu morali voziti kilometrima dalje. Danas, međutim, ista ta Roda ponovno puni naslovnice – ali ne zbog presijecanja vrpce, nego zbog jedne neugodne rečenice koja se sve glasnije ponavlja: „Cijena raste, a objašnjenja nema.“

Priča je do lokalnih medija stigla s anonimne adrese s nazivom „roditelji DVRoda“. E-mail pun ogorčenja, tvrdnji i pitanja poslan je u svim smjerovima, s premisom da „Općina šuti“ i da roditelji nemaju gdje potražiti informacije. Iako pošiljatelj nije htio otkriti identitet, tema je bila previše ozbiljna da bi se gurnula pod tepih, pa smo odmah kontaktirali načelnika Tomislava Pendića. Za razliku od autora pisma, on se predstavio.

S druge strane telefona dočekao nas je načelnik koji nije bježao od teme. Detaljno je objasnio situaciju, a potom sve ponovio i pisanim putem – računajući, kako kaže, da transparentnost ide u korist i roditeljima i samoj Općini.

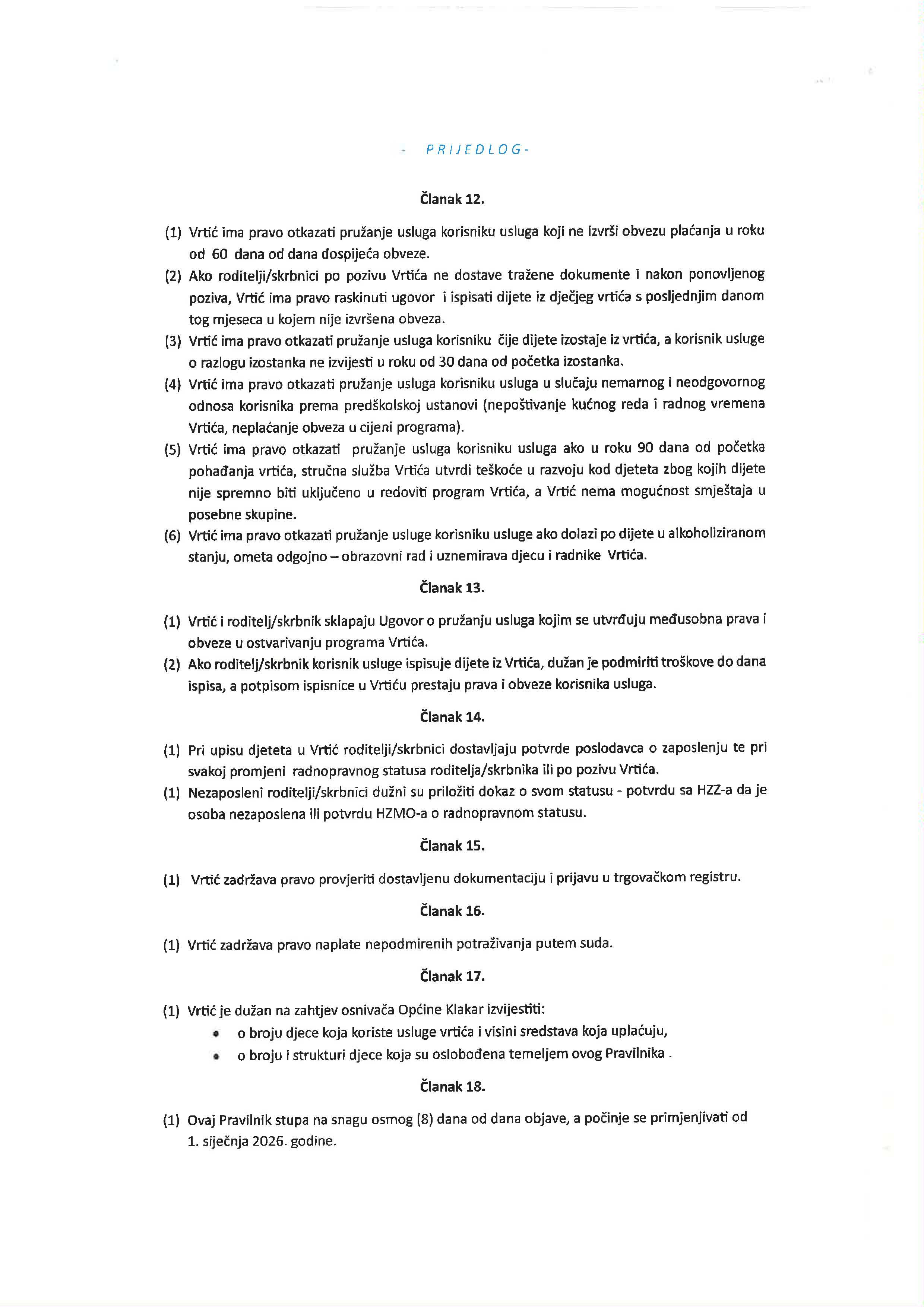
Problem je nastao zbog jednostavne računice: vrtić ima mjesta za tridesetero djece, a unutra je njih – četrdeset i petero. Ministarstvo je ove godine jasno poručilo da novih upisa nema dok se broj ne uskladi sa standardima. Istovremeno, rastu plaće djelatnika, a time i ukupni troškovi ustanove, što znači da dosadašnji cjenici više nisu održivi.

Uz sve to, dosadašnji model plaćanja po razredima prestaje vrijediti, a nova cijena – 220 eura za prvo dijete – vrijedit će za sve. Ekonomska cijena rada vrtića od 2026. penje se na 427 eura, a razliku će pokrivati Općina. I tu počinje ono što je u roditeljskom pismu izazvalo najviše negodovanja: smatraju da je cijena previsoka, komunikacija preslaba, a usluga nedovoljno kvalitetna.

Roditelji tvrde da u njihovom vrtiću djeca imaju znatno manje aktivnosti nego u drugim ustanovama, da se i dalje donose higijenske potrepštine, da se program ne mijenja, a da je svakodnevica uglavnom svedena na boravak u prostoru i povremeni izlazak u selo. Uz sve to, ljuti ih činjenica da, kako kažu, „nitko danima ne odgovara na mailove“, a tek im je naknadno postalo jasno da Općina ne želi razgovarati s anonimnim predstavnicima, nego s roditeljima koji iza svojih zahtjeva stoje imenom i prezimenom.

Najviše bure izazvale su izvučene rečenice pripisane načelniku, poput „Vrtić je skupa igračka“ ili „Kome je skupo, neka ispiše dijete“. Pendić tvrdi da su rečenice izvučene iz konteksta vijećničke rasprave, i da u zapisniku sjednice stoji sasvim drugačiji okvir u kojem su izgovorene. U razgovoru za portal, ironično zaključuje:

Ako je netko odlučio sažeti cijelu financijsku konstrukciju u jednu rečenicu i pritom je još okrenuti naglavačke, onda naravno zvuči grubo. Ali nije sporno da je predškolski sustav skup; sporno je to što se od jedne usputne opaske radi slika kao da roditeljima želimo zatvoriti vrata. To jednostavno nije točno.

A troškovi, prema njemu, govore sami za sebe. Samo za listopad, plaće djelatnika i dodatni izdaci premašili su 21 tisuću eura, uz izvanredna održavanja, sistematske preglede, IT opremu i sve ono što vrtić zahtijeva. U prosincu slijede božićnice, darovi za djecu djelatnika i ponovno više od 21 tisuće eura u jednome mjesecu. Kad se zbroje godišnji troškovi, proračun to osjeća ozbiljnije nego što roditelji možda misle – pogotovo nakon što je općina, zbog državnih poreznih izmjena, ove godine morala vratiti 154 tisuće eura.

Unatoč tome, Klakar i dalje sufinancira i one roditelje čija su djeca upisana u druge vrtiće – 50 eura po djetetu mjesečno – premda takva praksa nije uobičajena ni među financijski jačim općinama.

Najveća roditeljska sumnja – da će kroz poskupljenje zapravo sami financirati proširenje vrtića – također je naišla na odgovore. Proširenje je u fazi realizacije, projekt je vrijedan 243.844,88 eura, a financira se kombinacijom EU sredstava, općinskog proračuna i dodatnog sufinanciranja Ministarstva. Načelnik tvrdi:

Niti je istina da roditelji financiraju proširenje, niti će to ikada biti model rada. Vrtić se širi iz različitih izvora, ali ne preko tuđih novčanika. Ako smo išta dokazali dosad, onda je to da se obaveze rješavaju transparentno i bez pritiska na roditelje.

U konačnici, dok roditelji traže bolju uslugu, više aktivnosti i otvoreniji dijalog, Općina sve obrazlaže zakonskim obavezama, rastom troškova i planiranim širenjem kapaciteta. Činjenica da se o svemu razgovara preko anonimnih e-mail adresa vrlo vjerojatno ne pomaže nikome.

Za kraj, važno je naglasiti da nam je općina dostavila i cjelovite priloge – odluke, dopise i zapisnike – kojima demantira dio tvrdnji iz roditeljskog pisma te stoji iza svojih objašnjenja.


Grad Slavonski Brod
Grad dijeli novac za grijanje – evo tko može dobiti do 750 eura

S ciljem smanjenja potrošnje energenata, povećanja energetske učinkovitos...

21.03.2026. u 08:00

Općine
Uskrs dolazi, a Sibinj priprema nešto veliko

Uoči Uskrsa, općina Sibinj i ove godine pokreće jednu od najvese...

20.03.2026. u 20:00

Općine
Neočekivani novac za malu općinu – što se zapravo sprema u Gornjoj Vrbi?

Općina Gornja Vrba osigurala je značajna sredstva iz državnog proračuna za jedan...

19.03.2026. u 15:00

Županija
Mobilnost kao pravo, a ne privilegija- važan projekt u Brodsko-posavskoj županiji

Postoje trenuci koji na prvi pogled djeluju protokolarno, a zapravo nose puno du...

18.03.2026. u 15:00

Županija
36 godina HDZ-a u Brodsko-posavskoj županiji: Večer poruka, sjećanja i političkog kontinuiteta

SLAVONSKI BROD – Obilježavanje 36. obljetnice HDZ-a u Brodsko-posavskoj žu...

17.03.2026. u 20:55

Općine
Podcrkavlje u korak s vremenom- mobilna aplikacija koja mještanima donosi sve na dlanu

PODCRKAVLJE – U vremenu kada se svakodnevica sve vi&scaron...

17.03.2026. u 12:30

Svijet
Hoće li Dodik zaista spriječiti postrojavanje veterana HVO-a u Derventi?

Predsjednik SNSD-a Milorad Dodik poručio je kako ove godine u Derventi neće biti...

16.03.2026. u 12:30

Općine
Općina Brodski Stupnik ulaže u mlade: ´Kako smo obećali – tako smo i napravili! ´

Općina Brodski Stupnik ove je godine povećala iznos jednokratne...

15.03.2026. u 12:00

Županija
Grad ulaže u budućnost- novi vrtić za 72 djece

Radovi na izgradnji Dječjeg vrtića Jug privode se kraju, a novi objekt ukupne gr...

15.03.2026. u 08:00

Hrvatska
Skandal u Novoj Gradiški? Grad rekao jedno, dokumenti otkrivaju drugo- tko govori istinu o prodaji gradskog zemljišta?

Odluka o poništenju prodaje gradskih nekretnina u Novoj Gradi...

14.03.2026. u 11:59

Hrvatska
Tko će živjeti u kući od 315 kvadrata u Slavonskom Brodu?

Dok cijene stanova i najamnina u Hrvatskoj nastavljaju rasti, dr...

14.03.2026. u 08:00

Općine
Što se to sprema u Trnjanima? Veliki projekt dobio zeleno svjetlo

U Općinu Garčin stigla je važna vijest koja bi mogla značajno promijeniti dru&sc...

13.03.2026. u 15:00

Općine
Gotovo milijun eura bespovratnih sredstava stiže u Donju Bebrinu!

U prostorijama Općine Klakar danas je potpisan Ugovor o dodjeli bespovratnih sre...

12.03.2026. u 15:00

Županija
´Ne može se raditi u gradskom lokalu, a da ja nemam koristi´ – riječi koje su pokrenule istragu

Bivši gradonačelnik Nove Gradiške Vinko Grgić ponovno se n...

12.03.2026. u 12:30

Županija
Eksplozivno u Novoj Gradiški: Vijećnici otvorili pitanje novca, a na udaru završili- novinari!

Sedma sjednica Gradskog vijeća Nove Gradiške, održana 11. ožujka, umjesto...

11.03.2026. u 14:08

Županija
Tko u Novoj Gradiški drži ljestve kome? Građani poslali pismo premijeru Plenkoviću!

Nova Gradiška posljednjih se mjesec dana nalazi u središtu politič...

10.03.2026. u 19:50

;